Abstract– Demand for green energy is in continuous growth. Wide band efficient wearable antennas are crucial for energy harvesting wearable systems. Small harvesting antennas suffer from low efficiency. The efficiency of energy harvesting wearable systems may be improved by using active wearable harvesting systems with low power consumption. Amplifiers may be connected to the wearable antenna feed line to increase the system dynamic range. Novel active wearable harvesting systems are presented in this paper. Notch and Slot antennas are low profile and low cost and may be employed in energy harvesting wearable systems. The wearable harvesting system components are assembled on the same PCB. The notch and slot antennas bandwidth is from 50% to 100% with VSWR better than 3:1. The slot antenna gain is around 3dBi with efficiency higher than 90%. The antennas electrical parameters was computed in vicinity of the human body. The active antenna gain is 24+2.5dB for frequencies ranging from 200MHz to 900MHz. The active antenna gain is 12.5+2.5dB for frequencies ranging from 1GHz to 3GHz. The active slot antenna Noise Figure is 0.5+0.3dB for frequencies ranging from 200MHz to 3.3GHz.
Index Terms – Energy harvesting, Active Systems, Chargers
- INTRODUCTION
In recent years, the idea of using ambient energy in the forms of light, vibration, heat, radio waves, etc. has become increasingly attractive, and a number of methods to produce electricity from these different kinds of energy sources have been developed [1-8]. Energy harvesting technology would eliminate the need for replacing batteries and power cords. It is important to receive the ambient RF power of multiple wireless systems to harvest as much energy as possible. In these cases, multiband and wideband antennas become crucial. Due to very low-received power densities, highly efficient radiators operating at specific frequency range and polarization states are employed. The preferred antenna radiation pattern should have a wide beam width. Several printed antennas for harvesting energy applications was presented [1-8]. Printed wearable antennas are widely used in communication and medical system [9-35]. Human body effect on the electrical performance of wearable systems is not always presented in the literature. Electrical properties of human tissues have been investigated in [25-26]. New wide band slot and notch antennas was developed for wearable harvesting energy applications. Printed slot and notch antennas features are low volume, light weight and low production cost. Moreover, for active slot and notch antennas the benefit of a Compact low cost feed network is achieved by integrating the active Components with the radiating elements on the same substrate.
Wearable printed active antennas for harvesting energy applications are rarely presented in the literature. A new class of wideband passive and active wearable antennas for harvesting energy applications is presented in this paper. Amplifiers may be connected to the wearable antenna feed line to improve the system efficiency. Small light weight batteries supply the bias voltage to the active components of the energy harvesting system. The proposed energy harvesting system may be used in wearable wireless communication and medical systems. The active antenna bandwidth is around 200% for S11 lower than -5dB. The active antenna gain is 22+2.5dB for frequencies ranging from 200MHz to 900MHz. The active antenna gain is 12.5+2.5dB for frequencies ranging from 1GHz to 3GHz.
- ACTIVE ENERGY HARVESTING CONCEPT
RF energy harvesting is the process by which electromagnetic energy propagating in the air is captured, stored and employed to charge batteries and for other commercial applications. RF energy is inversely proportional to distance and therefore drops as the distance from a source is increased. Harvested power from RF energy sources is lower than 0.1 µW/cm2. Amplifiers may be connected to the wearable antenna feed line to improve the system efficiency. RF energy harvesting concept is shown in Fig.1. A DC unit manage and control the DC power in the proposed system. There is an increase in the amount of radio wave in the air. The expected amount of radio Wave in the air in 2017 is 11 Exa-bytes per month as listed in Table I. Today we can do more computations per KWh as listed in Table II. Energy sources are listed in Table III.
The RF energy harvesting system consists of an antenna, a
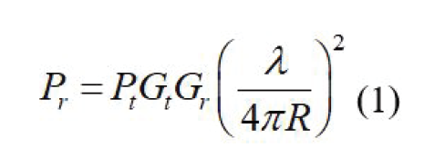
Rectifying circuit and a rechargeable battery. We can calculate the energy harvesting link budget by using equations 1 to 4.
Free Space Loss (Lp) represents propagation loss in free space. Losses due to attenuation in atmosphere, La, should also be accounted for in the transmission equation.
Losses due to polarization mismatch, Lpol, should also be accounted. Losses associates with receiving antenna, Lra, and with the receiver, Lr, cannot be neglected in computation of transmission budget. Losses associates with the transmitting antenna as written as, Lta.
Pt is the transmitting antenna power. Lt is the Loss between power source and the antenna. EIRP is the Effective Isotropic Radiated Power.
The received power Pr in dBm is given in equation 4. The received power Pr is commonly referred to as “Carrier Power”.
Mobile phone for standard 802.11 can legally transmit 30dBm.
Most 802.11 PCMCIA cards transmit at 10-20dBm.
III. WIDEBAND NOTCH ANTENNA, 2GHz to 7.8GHz, for ENERGY HARVESTING APPLICATIONS
A wideband notch antenna was printed on RT-DUROID 5880 dielectric substrate with dielectric constant of 2.2 and 1.2mm thick. The notch antenna dimensions are 116.4×71.4mm, as shown in Fig. 2. The antenna bandwidth is around 100% for S11 lower than -6.5dB, as presented in Fig. 3. The notch antenna VSWR is better than 3:1 for frequencies from 2.1GHz to 7.8GHz. The antenna beam width is around 84º. The antenna gain is around 2.5dBi. Fig. 4 present the radiation pattern of the notch antenna at 3.5GHz. These results agrees with measured results. A rectifying circuit is connected to the antenna input. A rechargeable battery is connected to the output of the rectifying circuit.
- NEW COMPACT WIDEBAND ACTIVE 0.5GHz to 3GHz ENRGY HARVESTING NOTCH ANTENNA
Harvested power from RF transmitting links is usually lower than 0.1 µW/cm2. Active antennas may improve the energy harvesting system efficiency. A wideband active notch
Antenna with fractal structure was printed on a 1.2mm thick substrate with dielectric constant of 2.2. The active notch antenna is shown in Fig. 5. The notch antenna dimensions are 74.5×57.1mm. The antenna center frequency is 1.75GHz. The active antenna bandwidth is around 200% for S11 lower than -5dB. The active notch antenna VSWR is better than 3:1 for frequencies from 0.5GHz to 3GHz. The antenna beam width is around 84º. An E PHEMT LNA surface mount, Low Noise Amplifier, was connected to a notch antenna via an input matching network. An output matching network connects the amplifier port to the rectifying circuit. A DC bias network supply the required voltages to the amplifiers. Amplifiers electrical parameters was measured by the amplifier manufacturer. The amplifier specification is listed in Table IV. The amplifier complex S parameters is listed in Mini-Circuits datasheets TAV541. The active notch antenna S21 parameter, gain, is presented in Fig. 6. The active antenna gain is 22+2.5dB for frequencies ranging from 200MHz to 900MHz. The active antenna gain is 12.5+2.5dB for frequencies ranging from 1GHz to 3GHz. The active notch antenna Noise Figure is presented in Fig. 7. The active notch antenna Noise Figure is 0.5+0.3dB for frequencies ranging from 300MHz to 3.0GHz. The active notch antenna S22 parameter is lower than -5dB for frequencies from 0.5GHz to 3GHz. These computed results agrees with measured results. All antennas presented in this paper can operate also as passive antennas.
- NEW COMPACT WIDEBAND ACTIVE 0.4GHz to 3GHz ENRGY HARVESTING NOTCH ANTENNA
A wideband notch antenna with fractal structure has been designed. The antenna is printed on a dielectric substrate with dielectric constant of 2.2 and 1.2mm thick. The notch antenna is shown in Fig. 8. The notch antenna dimensions are 52.2×36.8mm. The antenna center frequency is 1.7GHz. The antenna bandwidth is around 100% for S11 lower than -5dB. The notch antenna VSWR is better than 3:1 for frequencies
from 0.4GHz to 3GHz. The antenna beam width is around 84º. An E PHEMT LNA was connected to the antenna. The radiating element is connected to the LNA via an input matching network. An output matching network connects the amplifier port to the rectifying circuit. A DC bias network supply the required voltages to the energy harvesting system. The amplifier complex S parameters is listed in Mini-Circuits datasheets TAV541. The active notch antenna S21 parameter, gain, is presented in Figure 9. The active antenna gain is 20+2.5dB for frequencies ranging from 400MHz to 1.3GHz. The active antenna gain is 12.5+2.5dB for frequencies ranging from 1.3GHz to 3GHz. The active notch antenna Noise Figure is presented in Fig. 10. The active notch antenna Noise Figure is 0.5+0.3dB for frequencies ranging from 300MHz to 3.0GHz. The active notch antenna S22 parameter is lower than -5dB for frequencies from 0.5GHz to 3GHz.
- NEW COMPACT WIDEBAND ACTIVE 0.8GHz to 5.4GHz ENRGY HARVESTING SLOT ANTENNA
A wide band T shape wearable slot antenna for energy harvesting applications is shown in Fig. 11. The antenna electrical parameters was computed by using momentum software [36]. The volume of the T shape slot antenna is 7x7x0.12cm. The slot antenna center frequency is around 3GHz. The computed S11 parameters are presented in Fig. 12. The antenna bandwidth is around 100% for VSWR better than
3:1. The antenna beam-width is around 138º at 1GHz as shown in Fig. 13. The antenna gain is around 2.5dBi. The antenna was designed also as an active antenna as shown in Fig. 15. The radiating element is connected to the LNA via an input matching network. An output matching network connects the amplifier output port to a rectifying circuit. A DC bias network supply the required voltages to the energy harvesting system. The amplifier complex S parameters is listed in Mini-Circuits datasheets TAV541. The active slot antenna S21 parameter, gain, is presented in Fig. 15. The active antenna gain is 24+2.5dB for frequencies ranging from 200MHz to 900MHz. The active antenna gain is 12.5+2.5dB for frequencies ranging from 1GHz to 3GHz. Gain flatness may be improved to +2dB for frequencies from 0.2GHz to 6GHz by using an amplifier with +2dB gain flatness. The active slot antenna Noise Figure is 0.5+0.3dB for frequencies from 200MHz to 3.0GHz. The S11 parameters of the T shape slot on human body are presented in Fig. 13. The dielectric constant of stomach tissue is 45 see [25-26]. The antenna was attached, in the stomach area, to a shirt with dielectric constant of 2.2 1mm thick.
VII. ENERGY HARVESTING WEARABLE SYSTEMS FOR MEDICAL AND COMMERCIAL APPLICATIONS
The antennas electrical performance in vicinity of human body was investigated by using the model presented in Fig. 17. Properties of human body tissues are listed in Table V, [25-26]. These properties were employed in the wearable system design. Several energy harvesting antennas may be assembled in a belt and attached to the patient body as shown in Fig. 18.
The bias voltage to the active elements is supplied by a compact recorder battery. The DC cables from each harvesting antenna is connected to a rechargeable battery. Several harvesting passive or active antennas may be inserted to a belt. The converted electromagnetic energy may be used to charge medical or commercial Body Area Networks, BANs.
|
|
Antenna on human body
VIII. ENERGY HARVESTING SYSTEM
As shown in Fig. 1 the RF energy harvesting system consists of an antenna, a rectifying circuit and a rechargeable battery. A rectifier is a circuit that converts alternating current (AC), or electromagnetic energy to direct current (DC). Half wave rectifier or full wave rectifier may be used to convert electromagnetic energy to electrical energy.
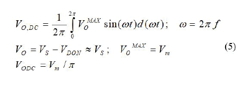
A Half wave rectifier is shown in Fig. 19. A half-wave rectifier conducts only during the positive half cycle. It allows only one half of an AC waveform to pass through the load The rectifier output DC voltage,, is given in equation 5. The rectifier output voltage may be improved by connecting a capacitor in shunt to the resistor. The improved half wave rectifier is presented in Fig. 20. The time constant should be lower than T. Where, . The half wave rectifier efficiency is 40.6% as presented in equation 7. This means that only 40.6% of the input AC power is converted into DC power. Where rf the diode resistance is negligible as compared to R. The bridge full wave rectifier is the most commonly used circuit for DC power supplies. It consists of four diodes D1 through D4, as shown in in Fig. 21, connected to form a bridge. During the positive input half cycle, terminal A will be positive and terminal B will be negative. Diodes D1 and D2 will become forward biased and D3 and D4 will be reversed biased.
The rectifier output DC voltage,, The rectifier output voltage may be improved by connecting a capacitor in shunt to the resistor. The improved half wave rectifier is presented in Fig. 22. The half wave rectifier efficiency is 81.2% as presented in equation 8. This means that only 81.2% of the input AC power is converted to DC power.
The capacitor used in the improved rectifier may be a voltage controlled varactor diode. Varactors are voltage variable capacitors designed to provide electronic tuning of electrical devices. The output voltage ripple, equation 6, of the improved rectifier may be tuned as function of the frequency of the received signal or of the load resistance R. A Schottky diode may be employed in the rectifier circuit. Schottky diode is a semiconductor diode which has a low forward voltage drop and a very fast switching action. There is a small voltage drop across the diode terminals when current flows through a diode. A normal diode has a voltage drop between 0.6 to 1.7 volts. The voltage drop of a Schottky diode is usually between 0.15 and 0.4 volts. This lower voltage drop provides better system efficiency and higher switching speed. Comparison of Schottky diode and standard PN diodes is listed in table VI. Typical I-V curves of commercial schottky diodes are shown in Fig. 23. Fig. 24. Presents a wearable harvesting system and a wearable battery charger attached to the patient shirt.
- CONCLUSION
This paper presents new compact Ultra-Wideband wearable active energy harvesting Systems in frequencies ranging from 0.4GHz to 8GHz. The active wearable notch and slot antennas were analyzed by using 3D full-wave software. Harvested power from RF transmitting links is usually lower than 0.1 µW/cm2. Active antennas may improve the energy harvesting system efficiency. However, all antennas presented in this paper can operate also as passive antennas. The active notch and slot antenna bandwidth is from 50% to 100% with VSWR better than 3:1. The slot antenna gain is around 3dBi with efficiency higher than 90%. The antenna electrical parameters was computed in vicinity of the human body. The active slot antenna gain is 24+2.5dB for frequencies ranging from 200MHz to 900MHz. The active slot antenna gain is 12+2dB for frequencies ranging from 1GHz to 3.3GHz. The gain flatness of the energy harvesting system may be improved by using an amplifier with better gain flatness. We can use an amplifier with +2dB gain flatness for frequencies from 0.2GHz to 6GHz. Active wearable antennas may be used in energy harvesting systems. A low noise amplifier is connected to the energy harvesting antenna. An output matching network connects the amplifier output port to a rectifying circuit. A rechargeable battery is connected to the output of the rectifying circuit. The wearable harvesting system components are assembled on the same PCB. The proposed energy harvesting system may be used in wearable wireless communication and medical systems.




































